变压器是电力系统中重要的电气设备之一,它能够把一种等级的电压转变成另外一种等级的电压。
变压器运行时会产生较大的低频振动及结构噪声。
运行噪声主要来源于硅钢片的磁致伸缩引起的铁芯振动;
其次,负载电流通过绕组时,漏磁通在绕组导体间产生电磁力而引起的绕组振动在一定情况下也不可被忽视。
某四星酒店1F含一主变机房,机房内有35KV干式变压器,4F为酒店式公寓,变压器正常运行时,公寓内能感受到明显的低频振感以及“嗡嗡声”,由于4F公寓离变压机房隔着层层楼板,可以排除空气声的传播。
低频声应来源于变压器振动后经过结构(地板、墙体)传递的固体声,一般机房的隔声降噪处理对减弱固体声基本无效。客人如果长期受到低频噪声及振动袭扰,容易造成神经衰弱、失眠、头疼等神经官能症。必须对主变机组进行专业隔振处理,才能消除客房内的低频噪声及振动影响。
隔振方式依据振源的不同分为两种形式:
一种振源是设备或结构,为减少它对周围环境的影响,采用隔振装置将它与地基(支承体)隔离,称为主动隔振;
另一种振源是支座或地基的振动,在它和设备之间安装隔振装置,以减少它对设备的影响,称为被动隔振。
本次变压器隔振属于主动隔振。
最简单的隔振系统,是由一个仅在在垂直方向运动的刚性物体(即质量)、无质量的弹簧和阻尼器组成,称为单自由度隔振系统。
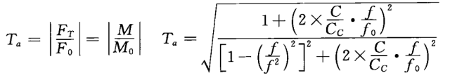
主动隔振力学模型单自由度隔振系统隔振效果用绝对传递比(传递比)Ta表示,定义为通过弹性支撑传给基础的传递力FT(或力矩M) 幅值与设备本身的扰力F0(或力矩M0)幅值之比。

式中,
C/C0为阻尼比(阻尼系数/临界阻尼系数),
f/f0为频率比,
f为设备的扰动频率,
f0为隔振系统的固有频率(Hz)。
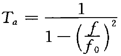
当忽略系统的阻尼,即无阻尼时,C/C0=0,这种最简单的隔振系统称为质量弹簧系统,振动传递比为

评价系统的隔振效果,有时还用隔振效率η表示,它的含义是振动力被隔离掉百分之几。


当频率比接近于1时,产生共振;只有当频率>1.414时,隔振器才能发挥作用,此时T<1;工程中一般选取频率比值在2~10之间。
隔振效果的评价,应采用隔振与非隔振状态下相同基础参考点或类比参考点之间的差值;
具体检测方法,应是比较未采取隔振措施前与采取隔振措施后的相同基础参考点(或类比参考点)之间的振动差值,而不应比较采取隔振措施后的振源设备基点至基础参考点之间(即隔振装置两端)的振动差值。
根据机组重量,尺寸等参数设计隔振器选型。
采用二级隔振的方式,主要由减振器和隔振基座组成。
减振器采用防剪切阻尼弹簧减振器,具有横向防剪切功能。
基本结构为圆型,由上、下壳体、表面橡胶防滑垫、减振组件等组成。
隔振基座与变压器底座相配合,隔振基座上配有橡胶隔振隔声垫,变压器底座可直接安装在橡胶隔振隔声垫上(橡胶减振垫主要起到变压器的二阶频率隔振、干摩擦固定及绝缘作用)。
减振器放置于隔振基座下,通过内六角螺栓,将减振器与隔振基座相连接,除此之外,变压器输入输出端子、接电线均采用软连接,从而减少振动能量向屋架结构的传递。

测试分为治理前、后两部分。采用丹麦B&K 2250D噪声测量分析仪以及DASP V10数据采集和信号处理系统。先后对变电机房及公寓同一测点位置进行振动(x轴及铅垂向Z轴)及噪声测量(A声级、C声级)。


为安全考虑,变压器现场不能直接测量轿架上的振动,故选择先后对变电机房地板(靠近变压器)的同一测点进行振动加速度测量。


隔振后机房地板振动图

隔振前公寓地板振动图

隔振后公寓地板振动图
由振动测试可知,变压器的振动峰值频率为100Hz,原因是变压器运行噪声主要是由铁芯的磁致伸缩引起的振动噪声,而磁致伸缩的变化周期是电源频率的半个周期,所以磁致伸缩引起的振动噪声是以两倍的电源频率为基频,并含有高次谐波分量存在。
经减振处理后,变电机房A声级降低了3.4dB,1/3倍频程峰值频率100Hz处降噪15.2dB,可见隔振处理对变电机房降噪作用非常明显。


经减振处理及公寓内家具进场后,酒店式公寓A声级降低了13.4dB,总的降噪量中虽然包含家具的吸声作用,但1/3倍频程峰值频率100Hz处降噪21.4dB,可见隔振处理对酒店式公寓的降噪作用也非常明显。公寓的背景噪声满足设计要求。
变电机房隔振效率达到93.5%,振级衰减量达到23.7dB。与理论计算值比较吻合。酒店式公寓低频“嗡嗡”声已听不到,测试振级均满足声学要求。
通过现场勘察、测试与分析,隔振计算,通过安装隔振装置等措施,控制变压器的传播途径,从而消除了振动及噪声干扰。隔振后,变压器运行良好,变电机房及酒店式公寓内均实现了减振与降噪的双重作用,达到了预期效果,业主对结果非常满意。