来源:沈阳航空工业学院飞行器动力与能源工程学院《随机振动级试验技术》ppt,作者:艾延廷。
机械阻抗方法概述
机械阻抗:频域中振动响应量与激振量之比。主要用途如下:
提供复杂结构各测点的机械阻抗值;
提供材料和元件的刚度、阻尼特性;
求模态参数。
机械阻抗的求取:
实验;
理论。
阻抗头:输入力和响应同时测量。
机械阻抗测量时的激励信号:稳态正弦和随机信号。
机械阻抗测试技术应用场合:实验室、随机振动实际环境。
机械阻抗的定义和特性
1
机械阻抗的定义
机械阻抗的定义-系统的固有特性。

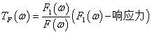
位移导纳:

速度导纳:

加速度导纳:

位移阻抗:

速度阻抗:

加速度阻抗:

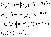
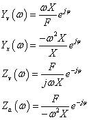
力传递率:

振动传递率:

位移导纳、速度导纳、加速度导纳、位移阻抗、速度阻抗、加速度阻抗、力传递率、振动传递率,统称为机械阻抗。
原点阻抗(导纳)
跨点阻抗(导纳)
2
机械阻抗的特性
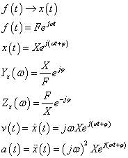
(1) 线性定常系统,简谐激励下

故

(2) 机械阻抗为ω 的复函数

ω=0 时,机械阻抗变为静态参数
静柔度
静刚度
振动系统在随机激励下的输入输出关系
1
单输入系统


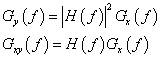
用复数形式表示Gxy(f ) 和H(f )


用上式求φ(f ),即y 对x 的相位。
2
多输入系统



式中,
是指系统上第i点的传递函数。
上式写成矩阵形式:




若计及系统的相位因子,用如下关系:

写成矩阵式:


机械阻抗的纯随机振动测试法
正弦扫描:
优点:
在特定频率上输入比较大的振动量,便于控制,信噪比高;
保持低响应值时机械阻抗数据的测试精度;
在频率扫描人工控制时,能研究结构在特定频率下的非线性;
可以做到泄露误差小。
缺点:
实验所需时间长,系统不稳定时,更会使实验精度下降;
非线性误差不能用多次平均消除。
机械阻抗测试的三种随机激励:
纯随机
伪随机
周期随机
具体测试方法如图1所示。

图1 机械阻抗随机振动测试法
用纯随机振动法测试机械阻抗参数优点:
较正弦扫描省时间;
通过多次平均可以消除结构非线性引起的畸变以及随机误差;
总的测振水平(均值、均方值)可控。
缺点:
泄露大;
不易控制。
随机信号的产生:
白噪声发生器
电子计算机
机械阻抗的伪随机振动测试法
伪随机数-用数学方法产生的周期性随机数。
使用目的:减小泄露。

图2 伪随机信号

图3 伪随机信号的幅值谱与相位谱
要求伪随机信号的谱线间隔:

伪随机的二元信号如图4所示。
“0”,“1”:“正”、“负”状态随机出现。

序列长度:

图4 基本的伪随机序列
序列周期为:

t 为时钟周期。

图5 伪随机信号的自相关图和功率谱图