来源:声振测试微信公众号(ID:gh_21d5ab08b079),作者:于长帅。
近年来,国内外对航天器飞行中其内部动力学环境参数测量与分析研究逐步兴起,由于航天器特性及发射方式等原因,研究内容主要从频域内对界面及内部动力学环境开展分析,针对拍频振动特性的研究基本未涉及,而对反作用轮、太阳翼等活动部件、柔性部件的振动特性对航天器的影响研究较多。随着航天技术的发展,多星发射、大型天线组件的应用将越来越多,航天器上的频率成分将越来越丰富,进而导致拍频振动将更为突出,为避免拍频振动对航天器产生不利影响,开展拍频振动机理研究,为后续相关工作提供方法指导具有重要意义。
一、什么是拍振
1. 拍振的概念
拍振是两个频率接近的力(激励源)产生的振动叠加在一起造成的,由于频率接近,周期也接近,每过一个周期两个信号的相对相位就会有一点变化,接近同相的时候两个信号叠加,幅值变大;接近反相的时候两个信号相互抵消,幅值变小,造成波形总幅值的周期性波动。

2. 拍振周期
两个波形周期分别是T1 和T2(比如8秒和10秒),从一次同时达到最大值开始,每经过T1 的时间,两个波形达到峰值的时间差 (T2-T1),经过T2/(T2-T1) 个T1 周期后两个波形再次同时达到最大值,所以每隔T1*T2/(T2-T1) 的时间,两个波形叠加达到最大值,中间是逐渐减小到最小值再逐渐增大的过程。幅值波动周期T1*T2/(T2-T1) 的倒数就是波动的频率,(T2-T1) /T1*T2=1/T1-1/T2=f1-f2。也就是说,这个波动频率是两个原始信号的频率差。
3. 拍振发生的条件
任意两个振动力频率接近,且两个振动会传递到一起产生叠加,就会发生拍振。比如下面这个齿轮箱输入轴和输出轴两端转速分别是1447RPM和1393RPM的情况;或者皮带驱动的风机两个皮带轮直径接近时,两端转速接近;啮合频率与高速轴转速接近;两台设备转速接近又共用一个基础或管道;最常见是两极电机同时存在气隙不均和不对中时,由于滑差,故障产生的两倍电源频率振动和两倍转频振动有微小区别,产生拍振,在电机旁可以听到明显的嗡嗡声。实际上受两个频率差与原始频率的比值影响,一般认为小于10%的会拍振。比如1Hz和10Hz的两个信号不会拍,980Hz和1000Hz的两个信号,会产生拍振。

拍振现象可以用以下公式来表示:



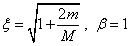
式中,分振动1和分振动2的振幅分别为A1 和A2,角频率分别为ω1 和ω2,初相位分别为10和20,T 为两个分振动合成“拍”的周期,ξ 为两个分振动的频率比,β 为两个分振动的振幅比,0 为两个分振动相位差。综合当前对拍频振动特性研究结果,可以得出拍频振动产生的条件为:
当频率比满足0.85≤ξ≤1.18,振幅比满足0.33≤β≤3,两个分振动可合成拍频振动,初始相位差对拍频振动并无实质性影响;
频率比影响合成振动振幅周期;
振幅比越小,振动的对比度越小,拍振现象越不明显。当振幅比为1时,拍振现象最明显。
二、星箭组合体主动段飞行中拍频振动现象
某双星主动段飞行中,星箭界面振动响应出现了明显拍振现象,运载火箭和双星的可简化为下图三自由度模型。

其中,m1 、k1 表示卫星1质量和刚度,m2 、k2 表示卫星2质量和刚度,M 为运载火箭系统质量,系统无阻尼自由振动方程可表示为:

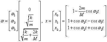
假设卫星1、卫星2为两个状态完全相同的卫星,即m1=m2=m , k1=k2=k,根据系统特征方程可知,系统自由振动频率ω 和振动位移x 如下式所示。

假设卫星1、卫星2为质量、刚度为相似卫星,即m1、m2、k1、k2 不完全相等,则系统的特征方程为:

根据卫星与运载火箭系统的质量可知,运载系统的质量M 一般满足:M>>m1、m2,则上式可简化为

系统自由振动频率、位移可简化为:

根据拍频振动特性可知:
当双星特性一致时,根据系统自由振动频率ω 和振动位移x 公式可知,卫星1、卫星2振动将由两个频率相近的分振动合成,其频率比、振幅比如下式所示。由于M>>m,故振动频率比ξ≠1,但接近1。表明,当两颗卫星质量、刚度完全相同时,卫星分振动频率基本接近,理论上能够合成拍频振动,但由于拍频振动周期很长,使得拍振现象并不明显。

当卫星1、卫星2为相似卫星时,根据系统自由振动频率、位移简化公式可知,卫星1、卫星2振动将两个频率相近的分振动合成,其频率比、振幅比如下式所示。当两颗卫星频率比符合拍振发生条件,卫星1、卫星2合成振动将出现拍频振动。因此,针对双星发射布局特点,其组合体并联状态下,双星易出现拍频振动现象,尤其是当双星质量、刚度特性接近时,其拍频振动现象更为明显。


某双星的拍振现象
三、航天器地面模拟火箭发射振动试验拍振现象
为模拟航天器火箭运载上天过程,常用振动试验的方法来地面模拟火箭对航天器的振动,航天器振动试验原理如下图所示。

正弦扫频试验是振动试验重要的一种试验类型,下图为某航天器正弦扫频的控制曲线,该扫频的频率范围为4Hz-100Hz。

航天器某一响应点的时域响应曲线如下图所示。

对该时域信号80s时间的响应曲线进行截断,如下图所示,从时域曲线可以看出存在拍振现象。

对80s时段的时域信号进行FFT变化,如下图所示,可以看出这段时间内78.22Hz的振动和79.52Hz振动发生拍振。

参考文献:
[1] 王少锋 mirook聊振动微信公众号,拍振
[2] 朱剑涛, 刘晨, 朱位,等. 星箭组合体主动段飞行中拍频振动分析[C]// 全国振动理论及应用学术会议. 2017.