来源:节选自《汽车振动与噪声控制》ppt,作者:胡爱军。
扭转振动分析的传递矩阵法
工程中对轴状或链状特征的结构进行振动分析,如汽车发动机的曲轴、动力输出轴系等,传递矩阵法是一个行之有效的方法。
传递矩阵法:将有链状或者轴状特点的实际结构,离散成具有集中广义质量和刚度元素的串联在一起的弹簧-质量的单元链系统。
定义出各单元两端内力和位移为状态向量,通过点传递矩阵表达质量点左右两边包括惯性状态向量的变化,通过场传递矩阵表达一段无质量轴左右两端由于变形体弹性性质导致的两端状态变量间的联系,最后形成一端的状态变量到另一端的传递关系。
多圆盘轴系统的扭振分析:由无质量的轴和有质量的圆盘组成。
如图所示的多轴圆盘轴系:

取其中第i 段进行分析:

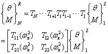
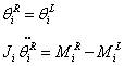
R 和L 分别表示所考虑的点或场的右边和左边的状态量。
1
无质量轴的状态量

得场传递矩阵:

2
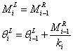
质量Ji 的状态量

设圆盘作简谐振动

则

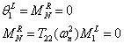
得点传递关系:

综合场传递和点传递矩阵:




状态量的关系可以从第1段的左边递推到第N 段的右边,即:

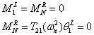
边界条件:如果两端自由的多圆盘轴系统,有

根据

有非0解的条件,其特征方程为:

对左端固定,右端自由的多圆盘轴系统,有

有非0解的条件,其特征方程为:

这些特征方程是关于系统固有频率
的代数方程。
代入各段传递关系,取其中可为任意常数的状态量为单位值,获得另一状态量在各质量处的相对大小,对应于θ 即为固有振动模态。
弯曲振动分析的传递矩阵法
汽车的动力输出轴系统,可以离散为无质量的梁上带有若干集中质量的横向振动系统,且某些质点下有弹性支撑ki。


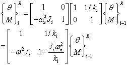
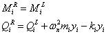
对于第i 个单元,对于质量mi,设其只产生横向谐振动,并略去其转动惯量,根据动力学方程,得:

质量mi 左右两边的转角θ(dy/dx)、挠度y 相等。

得到第i 个单元点传递矩阵为:

对于第i 个单元的无质量梁,有:

对悬臂梁,由材料力学,有:

由位移关系,有:

整理得场传递矩阵:

根据点传递矩阵和场传递矩阵,得第i 个单元的传递矩阵,为:

依次递推应用各单元的传递矩阵,可以建立梁最左端边界0与最右端边界N 的状态量之间的关系:

根据梁左右两端的边界条件,得到系统特征方程,可解出梁横向振动的固有频率和模态。