来源:节选自《有限元分析及应用》,作者:曾攀 清华大学。
结构的振动分析将涉及到模态分析(modal analysis)、瞬态动力学分析(transient dynamics analysis)、简谐响应分析(harmonic response analysis)、随机谱分析(spectrum analysis) 等方面,其中结构的模态分析(固有频率与振型)将是所有振动分析的基础,下面将就结构的模态分析进行阐述。
结构振动分析的基本方程
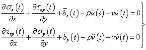
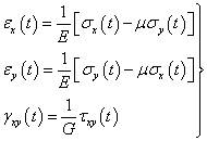
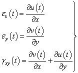
描述结构动力学特征的基本力学变量和方程与静力问题类似,但增加了惯性力项和阻尼力项,且所有的变量都将随时间而变化。
结构振动的三大变量
位移:u(ξ,t),v(ξ,t)
应变:εx(ξ,t),εy(ξ,t),γxy(ξ,t)
应力:σx(ξ,t),σy(ξ,t),τ(ξ,t) 是坐标位置ξ(x,y,z) 和时间t 的函数。
结构振动的三大类方程及边界/初始条件
1. 平衡方程(考虑惯性力和阻尼力)


2. 几何方程

3. 物理方程

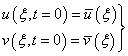
4. 边界/初始条件BC/IC
位移边界条件BC(u)

力边界条件BC(p)

初始条件IC(initial condition)


结构振动的有限元分析列式
用于动力学问题分析的单元构造与静力问题相同,不同之处是所有基于节点的基本力学变量也都是时间的函数。
单元的节点位移列阵为

单元内的位移插值函数为

其中,N(ξ) 为单元的形状函数矩阵,与相对应的静力问题单元的形状函数矩阵完全相同,ξ 为单元中的几何位置坐标。
基于上面的几何方程和物理方程以及上式,将相关的物理量(应变和应力)表达为节点位移的关系,有

单元有限元方程





将单元的各个矩阵进行组装,可形成系统的整体有限元方程,即


1. 静力学情形 (static case)
由于与时间无关,则

退化为

2. 无阻尼情形 (undamped system)
此时v=0,则方程

退化为

3. 无阻尼自由振动情形 (free vibration of undamped system)
则v=0,Pt=0,方程

退化为

其振动形式叫做自由振动 (free vibration),该方程解的形式为

这是简谐振动的形式,其中ω 为常数。将其代入

有


上式有非零解的条件是

这就是特征方程(eigen equation),ω为自然圆频率(natural circular frequency)(rad/sec),也叫圆频率,对应的频率为f=ω/2π(Hz)。求得自然圆频率ω 后,再将其代入方程

可求出对应的特征向量 (eigen vector)ˆq ,这就是对应于振动频率ω 的振型 (mode)。
常用单元的质量矩阵



结构振动分析将涉及到结构的刚度矩阵、质量矩阵和阻尼矩阵,由

可知,动力学问题中的刚度矩阵与静力问题的刚度矩阵完全相同,而质量矩阵则通过下式来进行计算

对于一种单元,只要得到它的形状函数矩阵,就可以容易地计算出质量矩阵。由阻尼矩阵的计算公式

可知,它的计算与质量矩阵相同,只是有关的系数不同而已。下面给出常见单元的质量矩阵。
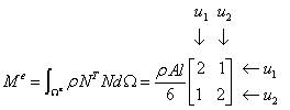
杆单元的质量矩阵
1. 一致质量矩阵
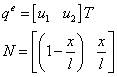
对于二节点杆单元,在局部坐标内有节点位移列阵和形状函数矩阵

相应的质量矩阵为

所谓一致质量矩阵 (consistent mass matrix) 是指,推导质量矩阵时与推导刚度矩阵时所使用的形状函数矩阵相“一致”。
2. 集中质量矩阵
将该二节点杆单元的质量直接对半平分,集中到二个节点上,就可以得到集中质量矩阵 (lumped mass matrix)为

可以看出,集中质量矩阵的系数都集中在矩阵的对角线上,也就是说对应于各个自由度的质量系数相互独立,相互之间无耦合;而一致质量矩阵的系数则有相互耦合。
平面三节点三角形单元的质量矩阵

2. 集中质量矩阵
